Indicaciones generales
SIGUIENTES CLASES
- Nros. Complejos
Forma algebraica z=x+iy ➜ Real (z)=x
Img(z)=y
Forma rectangular z(x,y)
Forma polar z=r𝜽 = | z | = sqrt(x²+y²)
𝞱 = arctg (y/x)
Forma trigonométrica z= r(cos𝛳+isen𝛳)
r = sqrt(x²+y²)
sen 𝛳 = y/r entonces y=r sen 𝛳 ②
cos 𝛳 = x/r entonces x=r cos 𝛳 ③
② y ③ en ①
z= r cos𝛳 + i r sen𝛳
z=r(cos𝛳+isen𝛳) ④
-Forma trigonométrica
cis 𝛳= cos 𝛳+ i sen𝛳 ⑤
⑤ en ④
z=rcis 𝛳
- Propiedades
IGUALDAD
Sea Z₁=x₁+i y₁ ^ Z₂=x₂+i y₂
si Z₁=Z₂ entonces x₁=x₂ ^ y₁=y₂
RELACIONES ENTRE COMPLEJOS
z₁+z₂ = z₂+z₁ Conmutativa
(z₁+z₂)+z₃ = z₁+(z₂+z₃) Asociativa
z₁(z₂+z₃)= (z₁+z₂)+z₃ Distributiva
Existencia del cero complejo
Sea z₁=x₁+iy₁ z₂=0+0i
z₁+z₂=(x₁+iy₁)+(0+0i)
=(x₁+iy₁)
z₂=0
cero complejo
Inverso Multiplicativo
CONJUGADO COMPLEJO
Z=x-iy
MODULO
| z | = sqrt(x²+y²)
- Operaciones
Suma-Diferencia
Los complejos cumplen con las propiedades clausurativa, conmutativa, asociativa y el inverso neutro.
Ej:
(z1+z2)+z3=z1+(z2+z3)
Multiplicación
Los complejos cumplen con propiedades conmutativas, distributivas y el inverso negativo.
Ej:
z1*z2=z2*z1
División
- Radicacion y Potencia de un Nro. complejo
Potenciacion
- Teorema de moivre

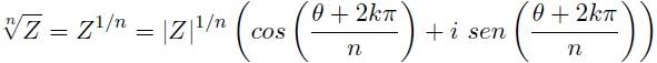
Radicacion
- Teorema de moivre
- Representación gráfica

- Forma exponencial
Una variante de la forma polar se obtiene al tener en cuenta la conocida como:
Fórmula de Euler:

Esto nos permite escribir un número complejo en la forma siguiente, denominada forma exponencial:
Esta nueva forma es especialmente cómoda para expresar productos y cocientes ya que sólo hay que tener en cuenta las propiedades de la función exponencial (para multiplicar se suman exponentes y para dividir se restan). En particular, para potencias con exponentes enteros se tiene
.
Esto nos permite dar una nueva expresión para el inverso de un complejo no nulo en la forma
Forma algebraica z=x+iy ➜ Real (z)=x
Img(z)=y
Forma rectangular z(x,y)
Forma polar z=r𝜽 = | z | = sqrt(x²+y²)
𝞱 = arctg (y/x)
Forma trigonométrica z= r(cos𝛳+isen𝛳)
sen 𝛳 = y/r entonces y=r sen 𝛳 ②
cos 𝛳 = x/r entonces x=r cos 𝛳 ③
② y ③ en ①
z= r cos𝛳 + i r sen𝛳
z=r(cos𝛳+isen𝛳) ④
-Forma trigonométrica
cis 𝛳= cos 𝛳+ i sen𝛳 ⑤
⑤ en ④
z=rcis 𝛳
- Propiedades
IGUALDAD
Sea Z₁=x₁+i y₁ ^ Z₂=x₂+i y₂
si Z₁=Z₂ entonces x₁=x₂ ^ y₁=y₂
RELACIONES ENTRE COMPLEJOS
z₁+z₂ = z₂+z₁ Conmutativa
(z₁+z₂)+z₃ = z₁+(z₂+z₃) Asociativa
z₁(z₂+z₃)= (z₁+z₂)+z₃ Distributiva
Existencia del cero complejo
Sea z₁=x₁+iy₁ z₂=0+0i
z₁+z₂=(x₁+iy₁)+(0+0i)
=(x₁+iy₁)
z₂=0
cero complejo
Inverso Multiplicativo
CONJUGADO COMPLEJO
Z=x-iy
MODULO
| z | = sqrt(x²+y²)
- Operaciones
Los complejos cumplen con las propiedades clausurativa, conmutativa, asociativa y el inverso neutro.
Ej:
(z1+z2)+z3=z1+(z2+z3)
Multiplicación
Los complejos cumplen con propiedades conmutativas, distributivas y el inverso negativo.
Ej:
z1*z2=z2*z1
División
- Radicacion y Potencia de un Nro. complejo
- Teorema de moivre
Radicacion
- Teorema de moivre

- Forma exponencial
Una variante de la forma polar se obtiene al tener en cuenta la conocida como:
Fórmula de Euler:
Esto nos permite escribir un número complejo en la forma siguiente, denominada forma exponencial:
Esto nos permite dar una nueva expresión para el inverso de un complejo no nulo en la forma



No hay comentarios:
Publicar un comentario